機械と学習する

統計解析、機械学習について学習したことをまとめていきます

2020-05-01から1ヶ月間の記事一覧

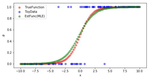
最尤法による一般化線形モデルのパラメータ推論

一般化線形モデル(ロジスティック回帰、ポアソン回帰)のパラメータ推論を最尤法を使って実装してみます。確率モデルとして考えることで統一した考え方ができます(わざわざ「〇〇回帰」みたいな名称を覚える必要ない)。