機械と学習する

統計解析、機械学習について学習したことをまとめていきます

2021-05-27から1日間の記事一覧

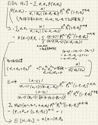
【統計検定準一級】統計学実践ワークブックの問題をゆるゆると解く#22

統計検定準一級対応 統計学実践ワークブックの問題を解いていくシリーズ。 第22回は9章「区間推定」から1問。