【統計検定準一級】統計学実践ワークブックの問題をゆるゆると解く#15
【概要】
- 統計検定準一級対応 統計学実践ワークブックの問題を解いていくシリーズ
- 第15回は7章「極限定理、漸近理論」から2問
- 7章、例題は解けたけど、ぶっちゃけ理解している自信がない
【目次】
はじめに
本シリーズでは、いろいろあってリハビリも兼ねて統計学実践ワークブックの問題を解いていきます。 統計検定を受けるかどうかは置いておいて。
今回は7章「極限定理、漸近理論」から2問。
なお、問題の全文などは著作権の問題があるかと思って掲載してないです。わかりにくくてすまんですが、自分用なので。
心優しい方、間違いに気付いたら優しく教えてください。
問7.1
問題
普通のサイコロを30回投げる。このとき、数字の3が十回以上現れる確率はいくつになるか?
回答
3が出ると出ないの2分類で考えると、各試行はベルヌーイ試行になります。そのため、各試行の期待値と分散がわかります。
次に、3が10回以上ということなので、確率変数の和、または、平均は中心極限定理から正規分布に従います。
ということで、確率変数の平均が
となる確率を求めれば良いことがわかります。正規分布なので、標準正規分布に変換して、標準正規分布表を使って確率を求められます。
ここで、「連続修正」をしろと問いに記載があります。連続修正については正直よくわかっていませんが、離散変数の区間を半分(0.5)ずらすということなんですかね??私が持っている参考書には記載がなさそうだったので。。。(よく探したら書いてあるのかもですが)

問7.2
問題設定
は独立同分布に従う確率変数。
は標本平均。

(1)
が収束する分布
7.1で出てきた中心極限定理から、標準正規分布に収束することがわかります。

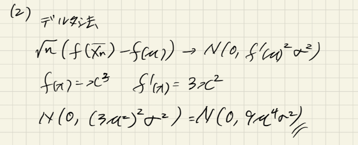
(2)
が収束する分布
テキストに書かれている「デルタ法」を使うことでどのような分布に収束するかがわかります。
これはテキストに例が書かれていてその例とほぼ一緒です。

(3)
が収束する分布
カッコの中身は(1)の通り標準正規分布に収束します。標準正規分布に従う変数(以下ではZとおく)の二乗が収束する分布ということで、カイ二乗分布に収束します。

参考資料
[1] 日本統計学会, 統計学実践ワークブック, 2020, 学術図書出版社

日本統計学会公式認定 統計検定準1級対応 統計学実践ワークブック
- 発売日: 2020/05/29
- メディア: 単行本

