【統計検定準一級】統計学実践ワークブックの問題をゆるゆると解く#26
【概要】
【目次】
はじめに
本シリーズでは、いろいろあってリハビリも兼ねて統計学実践ワークブックの問題を解いていきます。 統計検定を受けるかどうかは置いておいて。
今回は11章「正規分布に関する検定」から2問。
なお、問題の全文などは著作権の問題があるかと思って掲載してないです。わかりにくくてすまんですが、自分用なので。
心優しい方、間違いに気付いたら優しく教えてください。
問11.1
問題
2店舗(A, Bとする)を展開するハンバーガーショップがある。ポテトのサイズは120gと仕様が決まっているが、店舗Aはサイズが大きいと噂されている。
無作為に10個抽出して重さを測った結果、平均125g、標準偏差が10.0であった。
以下の設定で仮説検定する。

(1) 検定統計量の値は?
補足(1)で書いた検定統計量に当てはめる。

(2) 有意水準を片側2.5%としたときの棄却限界値は?
t分布表から、を読み取れば良い。そのため、2.262となることがわかる。
(3) 帰無仮説は棄却されるか?
(1)で算出したtと(2)で求めたを比較すると、
となるので、
は棄却されない。つまり、店舗Aのポテトのサイズは120gよりも大きいとは言えない。
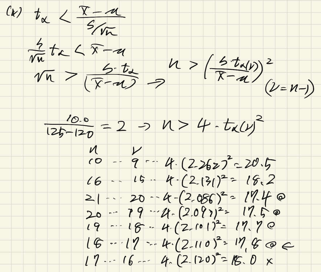
(4) 有意水準2.5%(片側)で帰無仮説が棄却される最小の標本サイズはいくらか?
統計量をnについて展開すると以下のメモの通りとなります。ただし、は自由度、つまり(n-1)に依存する関数となるので、素直に一つには決まりません。なので、具体的に値を入れて不等式が満たされる最小のnを探します。

もっと上手い方法ないですかね?
問11.2
問題
問11.1の続きで、店舗Bでも同様に10個のポテトを無作為抽出して重量を計測したところ、平均115g、標準偏差が8.0gだった。
店舗A, Bのポテトはそれぞれと
に従うとする。(分散は共通とする)

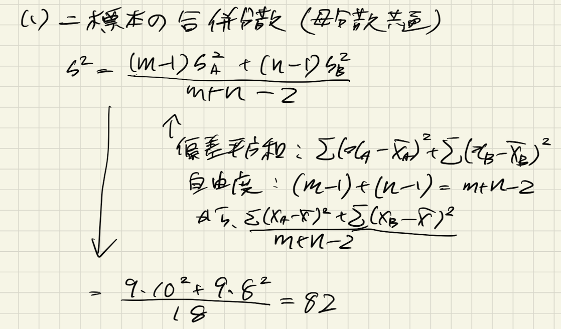
(1) 店舗A, Bのデータを合わせた標本分散を求めよ
2標本の合併分散は、偏差平方和と自由度から以下のメモの通りに定義されます。

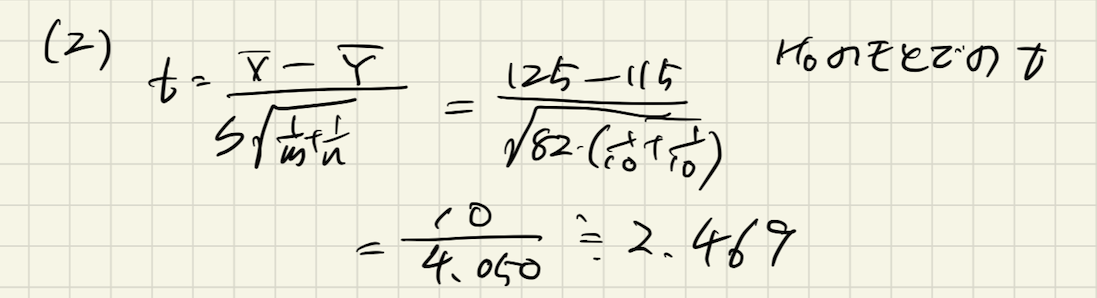
(2) 検定統計量の値を求めよ
補足(2)で求めた式に代入します。

(3) 有意水準5%(両側)としたときの棄却限界値は?
自由度がなので、素直にt分布表から値を探してきます。
(4) 帰無仮説は棄却されるか?
(2)、(3)の結果から、帰無仮説は棄却されることがわかります。
つまり、店舗A, Bのポテトフライの重さは有意水準5%で異なるということが支持されるようです。
補足
(1) t検定統計量
標本平均の分布はに従う。そのため、標準正規分布に変換すると以下のようになる。
分散が未知の場合には、を消去する必要があり、
で割る。
このtは自由度(n-1)のt分布に従う。
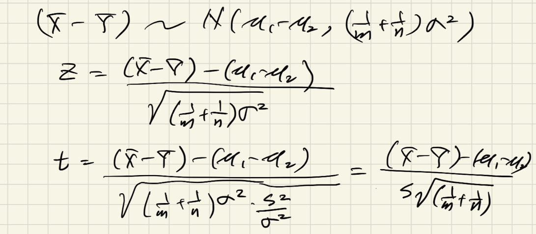
(2) 2標本の平均の差が従う分布のt検定統計量
平均の差が従う分布は独立な正規確率変数の和の性質から以下の分布になる。(分散が共通の場合)
補足(1)のt統計量の導出と同様に、分散が未知であるためこれを消去するように加工する。(以下のメモ参照)


